1. 麻豆视频下载,麻豆乱伦视频,麻豆AV成人在线观看,麻豆网站APP入口直在线观看

    联系麻豆视频下载 / contact us

    地址:上海市金山区枫泾镇环东一路
    邮编:201507
    网址:www.jhwfbzp.com
    销售部
    手机:13353397666
    电话:021-5648 6189
    传真:021-5186 1633
    商务QQ:3038069780

    CYZ自吸式离心泵

    当前位置:首页 > CYZ自吸式离心泵

    CYZ自吸式离心泵

    以下为系列产品选型范围,具体型号参考性能参数表

    口径范围 : 25-300(mm)

    流量范围 : 3.2-500(m3/h)

    扬程范围 : 12-80(m)

    优势:

    品牌知名度高、质量可靠、终身维护

    常规产品现货供应

    订做产品交货及时


    产品概述
    性能参数
    结构图纸
    安装尺寸
    型号定义
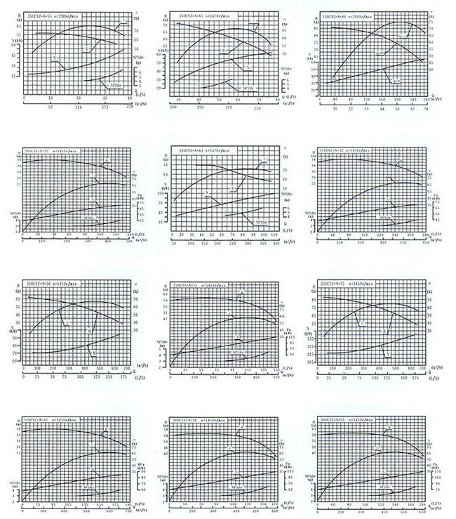
    性能图谱
    注意事项

    CYZ自吸式离心泵是根据国内外有关技术资料经消化、吸收、改进后研制而成的最新泵类产品,该泵适用于石油行业、陆地油库、油罐车的理想产品,并适合于作船用货油泵、舱底泵、麻豆乱伦视频和压载泵及机器冷却水循环等,分别输送汽油、煤油、柴油、航煤等石油产品和海水、清水,介质温度-20℃-80℃,如输送化工液体可改用耐腐蚀机械密封。

    产品特点

    1、该泵属自吸式离心泵,它具有结构简单、操作方便、运行平稳、维护容易、效率高、寿命长,具有较强的自吸能力等优点。管路中不需底阀,工作前只需保证泵体内储有定量引油即可。用于油轮或输水船舶上时,可兼作扫舱泵,扫舱效果良好。 

    2、该泵是选用优质材料精制而成,密封采用硬质合金机械密封,经久耐用,吐出管路不需要安装安全阀,吸入管路不需安装底阀,因此简化了管路系统,又改善了劳动条件。


    上一条信息:自吸泵系列         下一条信息:增强聚丙烯自吸离心泵
    网站地图